
Ricordo una volta, da bambino, quando cercavo disperatamente di costruire una torre di carte altissima. Continuavo a impilarle, una sopra l'altra, con una concentrazione assoluta. Arrivato a un certo punto, però, la struttura crollava inevitabilmente, lasciandomi frustrato e convinto che fosse proprio…impossibile!
Quel sentimento di fronte a qualcosa che sembra insormontabile, lo proviamo tutti, anche quando studiamo matematica. Ma come si esprime, nel linguaggio preciso dei numeri, l’idea di impossibilità?
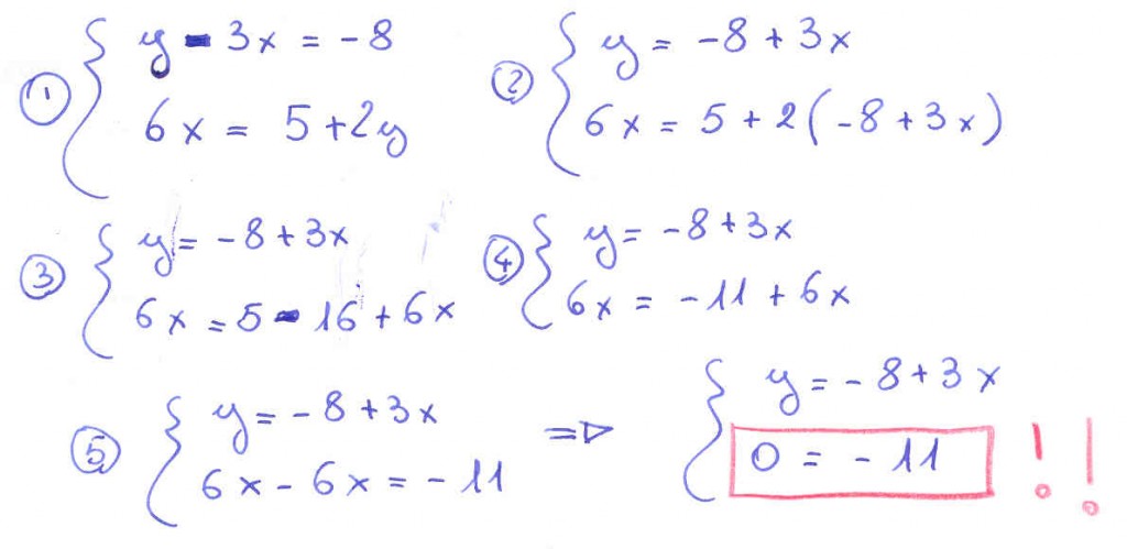
In matematica, l'impossibilità si manifesta in diversi modi. A volte, un'equazione non ha soluzioni. Immagina di cercare un numero che, moltiplicato per zero, dia come risultato cinque. 0 * x = 5. Non esiste! Questo è un esempio di equazione impossibile.
Altre volte, un problema presenta delle condizioni contraddittorie che rendono impossibile trovare una risposta. Pensa a un triangolo con tre angoli retti. Sappiamo che la somma degli angoli interni di un triangolo deve essere sempre 180 gradi. Tre angoli retti (90 gradi ciascuno) farebbero 270 gradi! Un triangolo del genere è impossibile da disegnare.
Riconoscere l'Impossibile
Ma come facciamo a capire quando un problema è veramente impossibile e quando invece stiamo semplicemente affrontando una sfida difficile?

Ecco alcuni spunti:
Analisi Approfondita
Prima di dichiarare qualcosa impossibile, è fondamentale analizzare a fondo il problema. Abbiamo compreso tutte le premesse? Abbiamo considerato tutte le regole? A volte, una rilettura attenta può rivelare un dettaglio che ci era sfuggito e che sblocca la soluzione.

Sperimentazione
Invece di arrenderti subito, prova diverse strade. Cambia prospettiva, utilizza formule diverse, disegna schemi. L'esplorazione può portare a nuove intuizioni e a scoprire che quello che sembrava impossibile, in realtà, è solo difficile.
Collaborazione
Non aver paura di chiedere aiuto! Confrontati con i tuoi compagni, parla con il tuo insegnante. A volte, una visione esterna può illuminare un punto cieco e rendere risolvibile un problema che sembrava impossibile.

La matematica, come la vita, è piena di sfide. Ci saranno sempre problemi che sembrano insormontabili, ostacoli che ci fanno dubitare delle nostre capacità. Ma la vera lezione non è evitare l'impossibilità, ma imparare a gestirla.
Ricorda: la torre di carte che crollava non era un fallimento, ma un’occasione per imparare a costruire meglio. Ogni volta che ti trovi di fronte a qualcosa che ti sembra impossibile, ricorda la pazienza, la perseveranza e l'importanza di non arrendersi. Magari non riuscirai a risolvere il problema subito, ma avrai imparato qualcosa di prezioso lungo il cammino. E chissà, magari un giorno scoprirai che quello che ti sembrava impossibile, in realtà, era solo una sfida in attesa di essere affrontata.